
Nieodpłatna pomoc prawna obejmuje:
Pomoc prawna przysługuje osobie fizycznej:
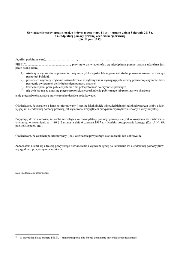
Nieodpłatnej pomocy prawnej udziela adwokat lub radca prawny, a w szczególnych przypadkach aplikant adwokacki lub radcowski. Pomoc udzielana jest na podstawie umowy zawartej z powiatem.
Ustawa z dnia 5 sierpnia 2015 r. o nieodpłatnej pomocy prawnej oraz edukacji prawnej (Dz.U. 2015 poz. 1255).
PAMIĘTAJ! Gdy wypełnisz formularz - przeczytaj go uważnie w wersji ostatecznej lub skonsultuj się ze specjalistą! Udostępnione przez nas wzory druków, formularzy, pism, deklaracji lub umów należy zawsze właściwie przetworzyć, uzupełnić lub dopasować do swojej sytuacji.
Pamiętaj, że podpisując dokument kształtujesz nim swoje prawa lub obowiązki, zatem zachowaj należytą uwagę przy zmianach i jego wypełnianiu. Ze względu na niepowtarzalność każdej czynności, samodzielnie lub na podstawie opinii specjalisty musisz ocenić, czy wykorzystany formularz zastał zastosowany przez Ciebie odpowiednio do stanu faktycznego, prawnego lub zamierzonego celu.
Dołącz do programu resellerskiego i zostań specjalistą od przyjaznych formularzy, e-deklaracji i e-administracji, ponieważ fillup to formalności wypełnione.